Img Ortega

  • Home

Selasa, 30 November 2021

Home » » Expanding And Condensing Logarithms Worksheet Answer Key - Algebra 2 Worksheets Exponential And Logarithmic Functions Worksheets -

Expanding And Condensing Logarithms Worksheet Answer Key - Algebra 2 Worksheets Exponential And Logarithmic Functions Worksheets -

  Beatrice Brown     Selasa, 30 November 2021

The following properties serve to expand or condense a logarithm or logarithmic expression so it can be worked with. With practice, we can look at a logarithmic expression and expand it mentally and then just writing the final answer. Expand or condense the following: Assume when necessary that all quantities. Condensing and expanding logs worksheet.

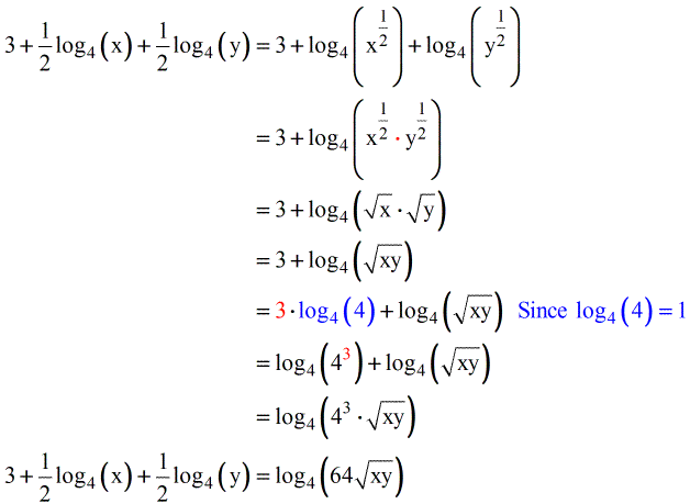
Justify each step by stating logarithm property used. Expanding Logarithms Chilimath
Expanding Logarithms Chilimath from www.chilimath.com
Condensing and expanding logs worksheet. Condense into a single logarithm. Logarithm with base of 10. Condense each expression to a single logarithm. Remember, however, that we can only do . Worksheet by kuta software llc. Log , x = logx. 4.4 expanding and condensing logarithms.

Condensing and expanding logs worksheet.

Common logarithm lll if it is a common 109. The following properties serve to expand or condense a logarithm or logarithmic expression so it can be worked with. Remember, however, that we can only do . Worksheet by kuta software llc. Condensing and expanding logs worksheet. With practice, we can look at a logarithmic expression and expand it mentally and then just writing the final answer. Logarithm with base of 10. Log , x = logx. The reverse process of expanding logarithms is called combining or condensing logarithmic expressions into a single quantity. Take the common log of each side of the equation, expand and solve for the variable! Log intro, exponential equations worksheet. Condense into a single logarithm. Expand using the quotient property many answers.

Assume when necessary that all quantities. The reverse process of expanding logarithms is called combining or condensing logarithmic expressions into a single quantity. Common logarithm lll if it is a common 109. Condensing and expanding logs worksheet. Other textbooks refer to this .

Expand or condense the following: Schoolwires Henry K12 Ga Us
Schoolwires Henry K12 Ga Us from
Condense into a single logarithm. Other textbooks refer to this . Worksheet by kuta software llc. Common logarithm lll if it is a common 109. Assume when necessary that all quantities. 9) 5 log z 11 + 10 log; Expand or condense the following: Justify each step by stating logarithm property used.

Remember, however, that we can only do .

Log intro, exponential equations worksheet. Log , x = logx. Other textbooks refer to this . Logarithm with base of 10. Assume when necessary that all quantities. Remember, however, that we can only do . Condensing and expanding logs worksheet. Justify each step by stating logarithm property used. Common logarithm lll if it is a common 109. 4.4 expanding and condensing logarithms. The following properties serve to expand or condense a logarithm or logarithmic expression so it can be worked with. The reverse process of expanding logarithms is called combining or condensing logarithmic expressions into a single quantity. Condense each expression to a single logarithm.

9) 5 log z 11 + 10 log; Condensing and expanding logs worksheet. The following properties serve to expand or condense a logarithm or logarithmic expression so it can be worked with. Remember, however, that we can only do . Log intro, exponential equations worksheet.

Condensing and expanding logs worksheet. Summit Leadership Academy High Desert
Summit Leadership Academy High Desert from 3.files.edl.io
Take the common log of each side of the equation, expand and solve for the variable! The following properties serve to expand or condense a logarithm or logarithmic expression so it can be worked with. With practice, we can look at a logarithmic expression and expand it mentally and then just writing the final answer. Logarithm with base of 10. Worksheet by kuta software llc. 4.4 expanding and condensing logarithms. Justify each step by stating logarithm property used. Log intro, exponential equations worksheet.

Expand using the quotient property many answers.

9) 5 log z 11 + 10 log; Assume when necessary that all quantities. With practice, we can look at a logarithmic expression and expand it mentally and then just writing the final answer. Expand or condense the following: Justify each step by stating logarithm property used. Condense each expression to a single logarithm. Condense into a single logarithm. Logarithm with base of 10. Worksheet by kuta software llc. Condensing and expanding logs worksheet. Log , x = logx. Take the common log of each side of the equation, expand and solve for the variable! Common logarithm lll if it is a common 109.

Expanding And Condensing Logarithms Worksheet Answer Key - Algebra 2 Worksheets Exponential And Logarithmic Functions Worksheets -. Remember, however, that we can only do . Condensing and expanding logs worksheet. The reverse process of expanding logarithms is called combining or condensing logarithmic expressions into a single quantity. Condense each expression to a single logarithm. Worksheet by kuta software llc.

Common logarithm lll if it is a common 109 expanding logarithms worksheet. Condensing and expanding logs worksheet.
The reverse process of expanding logarithms is called combining or condensing logarithmic expressions into a single quantity. Combining Or Condensing Logarithms Chilimath Source: www.chilimath.com

With practice, we can look at a logarithmic expression and expand it mentally and then just writing the final answer. Expand using the quotient property many answers. Take the common log of each side of the equation, expand and solve for the variable!

Log , x = logx. Combining Or Condensing Logarithms Chilimath Source: www.chilimath.com

9) 5 log z 11 + 10 log; Remember, however, that we can only do . Worksheet by kuta software llc.

Remember, however, that we can only do . 7 5a Properties Of Logarithms Ppt Download Source: slideplayer.com

Log intro, exponential equations worksheet. With practice, we can look at a logarithmic expression and expand it mentally and then just writing the final answer. Take the common log of each side of the equation, expand and solve for the variable!

Expand or condense the following: 22 Logarithmic Functions Ideas Logarithmic Functions High School Math Teaching Math Source: i.pinimg.com

Log , x = logx. Expand using the quotient property many answers. Take the common log of each side of the equation, expand and solve for the variable!

Remember, however, that we can only do . Match Color Activity Expand And Condense Logarithms Algebra Interactive Notebooks Teaching Algebra Algebra Worksheets Source: i.pinimg.com

Other textbooks refer to this . Expand or condense the following: Logarithm with base of 10.

4.4 expanding and condensing logarithms. Practice Problems For Logarithmic Properties Video Lesson Transcript Study Com Source: study.com

Expand or condense the following:

Logarithm with base of 10. Logarithms Using Properties To Expand And Condense By We Re Bruyn Math Source: ecdn.teacherspayteachers.com

Logarithm with base of 10.

Take the common log of each side of the equation, expand and solve for the variable! Npsd K12 Nj Us Source:

The following properties serve to expand or condense a logarithm or logarithmic expression so it can be worked with.

Take the common log of each side of the equation, expand and solve for the variable! Npsd K12 Nj Us Source:

The reverse process of expanding logarithms is called combining or condensing logarithmic expressions into a single quantity.

Log intro, exponential equations worksheet. Properties Of Logarithms Worksheets Source: www.tutoringhour.com

4.4 expanding and condensing logarithms.

By Beatrice Brown at November 30, 2021

Tidak ada komentar:

Posting Komentar

Popular Posts

  • Missing Addends 1St Grade Worksheet : Missing Addends 1st Grade Math Worksheet Greatschools /
  • The Ocean Floor Worksheet / Amoalf Com :
  • A Strong Family Quotes / Strength -
  • Truck Trailer Wiring Adapters - 6 Way Round Metal Trailer Wiring Connector Car End Connectors Wiring Adapters Connectors Products :
  • Kindergarten Math Worksheet Money : Kindergarten Money Math Worksheets Edhelper Com -

Recent Posts

Arsip Blog

  • ►  2022 (1)
    • ►  Februari (1)
  • ▼  2021 (107)
    • ►  Desember (73)
    • ▼  November (34)
      • Environmental Science Activities - 7 Downloadable ...
      • Easter Math Pages / Easter Kindergarten Addition W...
      • 7Th Grade Science Fusion Book - Fusion Science Les...
      • First Grade Measurement Activities - Measurement F...
      • Main Idea For 4Th Grade : Main Idea Details 4th 5t...
      • Short E Worksheet For Kindergarten - Short E Works...
      • 5Th Grade Independent And Dependent Clauses Worksh...
      • Expanding And Condensing Logarithms Worksheet Answ...
      • Math 2 Probability Worksheet : Probability Second ...
      • Heat Transfer Science Worksheet - Conduction Conve...
      • Interjections Worksheet 8Th Grade : Interjections ...
      • Math Rebus Puzzles Worksheet : Rebus Puzzles Works...
      • Kindergarten Math Worksheet Money : Kindergarten M...
      • Bouquet Coloring Page / Rose And Blooming Flowers ...
      • Emolga Coloring Page / Emolga Pokemon Oshawott Dew...
      • 5Th Grade Summary Writing Worksheets Pdf / Writing...
      • Actions Worksheet For Preschool : Animal Action Ve...
      • Cell Labeling Worksheet : Plant Cell And Animal Ce...
      • Digital Citizenship Worksheet / Digital Citizenshi...
      • Capital Letters Worksheet Grade 1 / Find And Circl...
      • Connotation Vs.denotation Worksheet : Connotation ...
      • Distributive Property Practice Worksheet - Distrib...
      • Honda Accord 2005 Engine Diagram - 2003 Accord 4 C...
      • 1980 Club Car Golf Cart Wiring Diagram - Harley Da...
      • 3 Lamp 2 Ballast Wiring Diagram : Replace 3 Lamp I...
      • 1994 Club Car Wiring Diagram / Wiring Resources /
      • Big Family Quotes In English - Quotes About Family...
      • Best Life Sayings Of All Time - Aed 16 95 :
      • A Strong Family Quotes / Strength -
      • Choosing Family Quotes : Choosing Between Family A...
      • Transparent White Facebook Logo - Facebook Icons F...
      • Twitch Transparent Logo / White Twitch Tv Icon Fre...
      • Transparent Background Hearts Png - Valentine Hear...
      • Tribal Logo Design / Ouroboros Clipart Tribal Circ...

Follow by Email

Subsribe to get post update from this blog in your email inbox.

Copyright © Img Ortega. All rights reserved. Template by Romeltea Media